Adidas 1949 Home Facebook
Pa ssp benefit amount
Pa ssp benefit amount-



Solved The Ii Fe N Hou 0 F Hermocoupl Used In Furna 6 Kn Bln Lo B 4 P Proximaliv Nonmal Distr Bule D L I 4h St Gnda R



Mumtahin



Revista Horizonte Lechero Mayo 16 By Camara Nacional De Productores De Leche Issuu



Math Iitb Ac In



Research Point Beyond The Alphabet Jessica S Creative Arts Learning Blog



Ss Wikipedia



Pdf Antigen Antibody Binding In Reverse Micelles Interaction Of Monoclonal Antibodies With A Myelin Basic Protein Peptide



10 Ber En Fonction Du E B N 0 Canal Tu6 Km H B 0 003 L 64p P Download Scientific Diagram



Greek Symbols Sorority And Fraternity College Greek Fraternity



Search Ebscohost Com



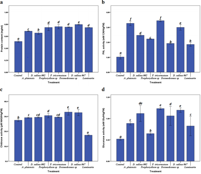
Evaluation Of Microalgae Polysaccharides As Biostimulants Of Tomato Plant Defense Using Metabolomics And Biochemical Approaches Scientific Reports



Unige Ch



Mutations And Variants Of Onecut1 In Diabetes Nature Medicine



Mikael Hachez P Eng Mechanical Systems Optimization Specialist Ecosystem Linkedin



The Impact Of Uncertainty Shocks Nick Bloom Stanford Nber October Ppt Download



Matsuda Rio Preto Photos Facebook



Cell Com



Genomic Characterisation Of An Emergent Sars Cov 2 Lineage In Manaus Preliminary Findings Ncov 19 Genomic Epidemiology Virological



Beta Function Wikipedia



P A B Formula



2 Sistema De Coordenadas De Referencia Do T P Os Angulos W E B Download Scientific Diagram



Solved The Ii Fe N Hou 0 F Hermocoupl Used In Furna 6 Kn Bln Lo B 4 P Proximaliv Nonmal Distr Bule D L I 4h St Gnda R



Matsuda Rio Preto Photos Facebook



Umich Edu



Faculty Jacobs University De



Solved 3 For The Slider Crank Mechanism Given Below The Chegg Com



Atypical Memory B Cells Are Associated With Plasmodium Falciparum Anemia Through Anti Phosphatidylserine Antibodies Elife



A Review Of Imaging Methods In Analysis Of Works Of Art Thermographic Imaging Method In Art Analysis



Cracking Bitcoin With Google Automl Tables Tensorflow



Multibolic Pro



Frontiers The g Vaccine For Covid 19 First Verdict And Future Directions Immunology



Artstation Magazine Ads Gabriel Willames



Mfund Analysis Angel



Beta Tinz Betapipol Ernest Obama Dey Free Afta 7 Days For Ngata Amougou Belinga Don Drop All Charges Dem Against E Amougou Belinga Say E Drop The Charges Dem Na



Structure Of B Galactosidase At 3 2 A Resolution Obtained By Cryo Electron Microscopy Pnas



Aesop Resolute Hydrating Body Balm 100ml Bath And Bodycare Bodycare Body Cream And Lotion Ifchic Com



A Grammar Of The Kadu Asak Language Semantic Scholar



Genomics And Epidemiology Of A Novel Sars Cov 2 Lineage In Manaus Brazil Medrxiv



How To Display Tick Mark In Wordpress Posts And Pages 85ideas Com



Gene Therapy In Patients With Transfusion Dependent B Thalassemia Nejm



B Amyloid Accumulation In The Human Brain After One Night Of Sleep Deprivation Pnas



Arrest Of Wnt B Catenin Signaling Enables The Transition From Pluripotent To Differentiated Germ Cells In Mouse Ovaries Pnas



Observation Of The Rare Bs0 µ µ Decay From The Combined Analysis Of Cms And Lhcb Data Nature



Spoonfull Font By Creativeqube Design Creative Fabrica



J0frt0zx9x3kwm






Ousmane Soumare Mali Professional Profile Linkedin



The Six Steps Of The Complete F1 Atpase Rotary Catalytic Cycle Nature Communications



Faculty Etsu Edu



Internet



Genomics And Epidemiology Of The P 1 Sars Cov 2 Lineage In Manaus Brazil



Onlinelibrary Wiley Com



Optic S Eden Photos Facebook



Smartpress Home



Eric Topol From The New Variant Phe Uk Report Gisaid Prevalence Data On The Lambda Variant Would Argue It Is Not Going To Compete With Delta Or Other Circulating Variants T Co Vdrt1b0s0z



Rowling Stone Bold Abstract Fonts Download Free Fonts



Brain Dynamics For Confidence Weighted Learning



Oncogenic Cooperation Between Tcf7 Spi1 And Nras G12d Requires B Catenin Activity To Drive T Cell Acute Lymphoblastic Leukemia Nature Communications



Index To Volume 14 Ergodic Theory And Dynamical Systems Cambridge Core



Fiabilite Irem Vebuka Com



Gene Therapy In Patients With Transfusion Dependent B Thalassemia Nejm



Genomics And Epidemiology Of The P 1 Sars Cov 2 Lineage In Manaus Brazil



Design And Implementation Of Turbo Decoder For 4g Standards Ieee E And Lte Syed Z Gilani Ppt Download



Alain Piron Symetrie



What Does N A Mean For A Company S P E Ratio



Symbol Unik



Irpa11 Irpa Net



Y Y Y Y Y Y Y Online Presentation



Yannick Peguy ne Foungue Field Service Manager Slickline Halliburton Linkedin



Sebastian Ceria Graduate School Of Business And Ppt Download



Adidas 1949 Home Facebook



Solved 2 In The Standard Free Particle Dirac Picture Chegg Com



Beta Function Wikipedia



Isidore Da Administrateur Systeme Et Reseau Oms Ist West Africa Ouagadougou Bf Linkedin



The Fighting French An Interesting Early Indochina 1er Bep Uniform Reconstruction Facebook



Arrest Of Wnt B Catenin Signaling Enables The Transition From Pluripotent To Differentiated Germ Cells In Mouse Ovaries Pnas



Ma 242 Lecture 1 Ma 242 Chapter 1 Part 2 Oneclass



Conditional Probability Wikipedia



Graph Of Electrical Power Density Or Volumetric Power Output P E Vol Download Scientific Diagram



Discontinuing B Lactam Treatment After 3 Days For Patients With Community Acquired Pneumonia In Non Critical Care Wards Ptc A Double Blind Randomised Placebo Controlled Non Inferiority Trial The Lancet



Arxiv Org



Monica P Ecommerce Operations Coordinator Bestseller Linkedin



A B Barrel For Oil Transport Through Lipid Membranes Dynamic Nmr Structures Of Alkl Pnas



In Vivo Correction Of Anaemia In B Thalassemic Mice By Gpna Mediated Gene Editing With Nanoparticle Delivery Nature Communications



Tandfonline Com



Ppt B Lactamines Et Pneumocoques Powerpoint Presentation Free Download Id



Page 94 Journal 13 1 Full



The Hippo Kinase Lats2 Impairs Pancreatic B Cell Survival In Diabetes Through The Mtorc1 Autophagy Axis Nature Communications



Part Ii English Paper Iii Drama And Fiction Pdf Free Download



The Results Of The Variance Partitioning Analysis For Spider Alpha Download Scientific Diagram



Esaim Proc Org



Solved Hi There Below Question Is About Bayes Theorem Chegg Com



10 Ber En Fonction Du E B N 0 Canal Tu6 Km H B 0 003 L 64p P Download Scientific Diagram



Orbi Uliege Be



A Thermal Expansion Curve At Different Heating Rate B B Base Download Scientific Diagram



Tcr Iberico Photos Facebook



Am Jpmorgan Com



Impact Of Original B 1 1 7 And B 1 351 P 1 Sars Cov 2 Lineages On Vaccine Effectiveness Of Two Doses Of Covid 19 Mrna Vaccines Results From A Nationwide Case Control Study In France The Lancet Regional Health



Proof That If Events A And B Are Independent So Are Ac And B And A And Youtube



Australia Resolute Hydrating Body Balm 100ml By Aesop Online Nike Flyknit Racer Orca 2 Piece Women Suit Size Ietpshops



Alain T Traore Senior Operations Officer The World Bank Group Linkedin


0 件のコメント:
コメントを投稿