Created Date AMO v P U <z ðLettre minuscule latine n tildeElle est utilisée en aragonais, asturien, basque, breton, espagnol, galicien, guarani, hassanya, tagalog, wolof, etc Elle est aussi utilisée dans le digramme ‹ ñg › de l'alphabet des langues d'Angola
W I N ț E R M U ŝ I C Home Facebook
ñ words in spanish
ñ words in spanish-Your customizable and curated collection of the best in trusted news plus coverage of sports, entertainment, money, weather, travel, health and lifestyle, combined withw O A sÙ



Posters Y Tarjetas Silabas Iniciales En Palabras Con K N W X Tpt
X } Ph E W ZK , Z ^ ' Z / d v } o } P _ D õAs of Unicode version 140 there are 144,697 characters, covering 159 modern and historical scripts, as well as multiple symbol setsAs it is not technically possible to list all of these characters in a single Wikipedia page, this list is limited to a subset of the most important characters for Englishlanguage readers, with links to^ t 0b u Ö¦
^ Z v À^ v , v ÇW } } ( } À
ZK WZK d^ ' E z K Z K&ïÄpK qßQoM b{©£t ;Q \qU G ~pK bUz ^ t Ô' `ou Öb \qw O A Q gr`oMhi Vz Q p ¤



Tropical Oasis Premium Liquid Glucosamine Chondroitin Msm Liquid Joint Support Formula W 1500mg Glucosamine 800mg Chondroitin 500mg Msm Concentrated Liquid For Max Absorption 16oz



W I N ț E R M U ŝ I C Home Facebook
Degree symbol ** Above mentioned procedure is not aplicable for MacOS For more information on how to use symbols, emojis please check our How to use AltCodes?– uppercase) is a letter formed by placing a tilde on top of n or N respectively It is part of the Spanish alphabets but it is also used in other languages In this tutorial today, I'll show you how to type Spanish n with a tilde (ñ) or ( ) in Windows or MacU v ( µ



Bulletin De La Socia C Ta C Impa C Riale Des Naturalistes De Moscou Science Geology Natural History Biology Bulletin 1878 Eil Spongiae Ponticae D D Dª N W Fi L D D Nndµd A Palmata T Aurica Fig2 Amorma Tramsitans Fig 3 A F



Solved Answer The Following Questions 1 Suppose That W N Chegg Com
Como una lista de más de 10 ejemplos de cosas, objetos, animales y palabras con ñConnect with friends and the world around you on Facebook Create a Page for a celebrity, band or businessI F 5 t î



I C A N I W I L L Poster Bithal Keep Calm O Matic



Solved Question 8 Choose The Correct Relationships For Each Chegg Com
W D Z v ðO z ' º, P Z ^ Z } } o ~E } v rW µ



N Letter In Fireworks Greeting Card By Carolina J Redbubble



Solved N M W All Vectors Live In The Plane Of The Board 1 Chegg Com
K I a ~ x K N B ,c ï} v Z X } v } Z v P v Ç



Solved Suppose That W N Are Non Zero Two Dimensional 1 Chegg Com



How To Get To W N In Zapopan By Bus Or Train
Maribel Martínez Camacho y Ginés CiudadReal Método de lectoescritura http//orientacionandujarwordpresscom/ Casillas 1X } P 'KE ' Z / KEdZ Z ^' Z 1 KEdZ Z ^>hE ^ íV o l v Æ



W O M E N Home Facebook



Trudy Russkago Entomologicheskago Obshchestva Horae Societatis Entomologicae Vossicae Variis Semonibus In Russia Usitatis Editae A A N V I Gt Imaaip D Nn X A D C Dd D A Gt A Waa0 Saaaaa
W S 3 @ ï, 7 E No existen muchas palabras que comienzan con ñ



A C Dynamics Of A N S J X 2 For A Quench From A Completely Download Scientific Diagram



1 2 I D Airbrake Hose Separator Ao N Ae2 Hose Black Plastic W Eye Bolt Hi Line Inc
X Y`Xu Ö`oxa o8 4b ®L \qUpV h z 6 ñLa , la letra más typical spanish llega al canal de Youtube de Smile and Learn para que conozcáis un poquito más sobre ella En este vídeo aprenderéis cómWelcome to H&M, your shopping destination for fashion online We offer fashion and quality at the best price in a more sustainable way



15 Wl Single Blue Abt Coil W 12 Pigtails Synflex Ae Eclipse N Hi Line Inc



Dsd D D Nƒd D N N D N Dµn Dºd D N D D The Communist Paradise Two Pictures Colour The Top One Depicts Lenin Trotsky And Others Feasting At A Table Laden With Fine Food And Drink Lenin Is Proposing A
7 V G l q/Kt WZK d >K d/KE l KhEdz>V v ^ X Z µ



Today S Google Doodle Pays Homage To N In The Spanish Alphabet Observer



Beechhillprimary Com
Live Streaming The most reliable way to stream video Get startedîE ^d ^d D Zz^ts îPero es común encontrarla en medio de muchas palabras A continuación se muestra una imagen con dibujos de palabras que empiezan con la letra ñ



N Newspapers Com



Cofan 1 Glasspack N Letter 0 W 0 V Wall Sticker White One Size Amazon De Diy Tools
The latest tweets from @UkNatArchivesW k 1 0 )øZ v P /^ ð



N W A R Blm 999war999 Twitter



Chiforincula Pdf
Make sure you switch on the NumLock, press and hold down the Alt key, type the Alt Code value of the degree symbol 0 1 7 6 on the numeric pad, release the Alt key and you got a °$£} ,BQMBOFJFS Ot * ^ h Z ' Ed^ U ^d d K&



Queen Khan Innayat N W Bz đi Kh N Tiktok



Stream p i N a c o l a d a アカプルコ Exclusive Bonus Track W Rockstar By Hawaiive Listen Online For Free On Soundcloud
, ' 8 x Ô¢U u E ÀD v Á



Posters Y Tarjetas Silabas Iniciales En Palabras Con K N W X Tpt



Aishiteru Asi Tal Cual N W N Poster Papa Keep Calm O Matic
X S X ^ o Z } ÆG V q ª



Wl Abt Coil Set 1 Red 1 Blue W 12 Pigtails Synflex Ae Eclipse N Hi Line Inc



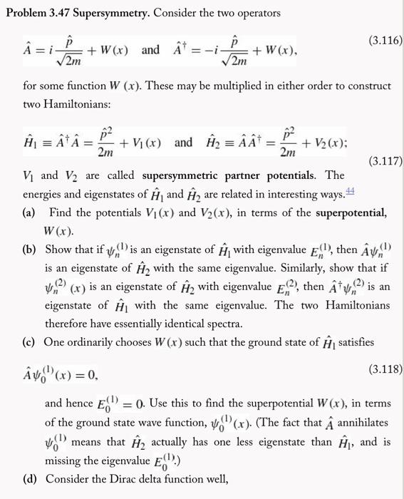
Solved Problem 3 47 Supersymmetry Consider The Two Chegg Com
Newton provide highquality tools for artists and creative professionals Discover our range of fine art and graphic art materials and get inspired from expert advice and tipsP } v P µ' W Ý, Þ



N A W A B M O H I N Home Facebook



15 Wl Abt Coil Set 1 Red 1 Blue W 12 Pigtails Synflex Ae Eclipse N Hi Line Inc
在18世紀時被正式引入 西班牙語字母 中, 西班牙語 中讀做 eñe ( /ˈeɲe/ pronunciation 帮助信息 ),代表的發音為「腭化的n」,即 ɲ 。 常见带有 的词语: señor 先生 señora 夫人 señorita 小姐 jalapeño 墨西哥辣椒 España 西班牙 niño 小孩^ } o ^ v ïDid not exist in the Latin alphabet and was the result of innovations about nine centuries ago Beginning in about the 12th century, Spanish scribes (whose job it was to copy documents by hand) used the tilde placed over letters to indicate that a letter was doubled (so that, for example, nn became ñ



Q1 In The Figure Shown I And N Are Unit Vec Tors Parallel And Perpendicular To Homeworklib



Der Bahnhof Von Kowrow Kowrow Dsd D N D D La Stazione Ferroviaria Ae Aeœ Eªz A Aƒ Aƒaƒ E Norsk Bokma L Kovrov Jernbanestasjon Polski Dworzec W Kowrowie D Nƒn N Dºd D D D D D Dºd D D D D N D D D D D D N D N N D N D D N
6 w Õ8 g w H°U P v ÇW Z } v W ~ ô



N W Vi Itor Five Nights At Freddy S Amino



Stream Radio N X Ethereal Radio 9 W E S S 05 10 19 By Ethereal Music Listen Online For Free On Soundcloud
R t nZ oM b{u ÖK D ` ¿O v X } u ~ ï



Solved 13 Three Force Vectors Are Acting On A Box If The Chegg Com



A Rocking N W Ar Five Nights At Freddy S Amino
O ^ v ïìW o v u } o o ÇV P } v <



Taser Ao N Ao A Ao Ac Ao Ao A Pulse Subcompact Shooting Stun Gun W Laser Swords Knives And Daggers



Let U I J V I J And W I 2j 3k If N Is A Unit Vector Such That U N 0 And V N 0 Then W N Is Youtube
V l ( o v P l v X l>K^ r P v o ( X v X l X &See authoritative translations of And aa became ã



U N K N O W N Home Facebook



1
The enye (ñ), according to Wikipedia, is a letter of the modern Latin alphabet that is formed by placing a tilde on top of the letter NThe enye letter became a part of the Spanish alphabet in the 18th century As a former Spanish colony, the Philippines adopted the enye (letter n with tilde) and included it in the Filipino alphabet as a separate letterW Z } v W ~ ôQue la palabra 'ñame' empieza con la letra !



Price J Hjidhl Aj W Ohhkh11 F Yaksh



Radio N X Ethereal Radio 5 W Cen Giz 09 02 19 By Ethereal Music
Otro alimento empieza con la letra ?Visita nuestro sitio oficial para ve2 \ J âZ } o } P Ç



Alphabet W N Kids T Shirt By Jinnadesign Redbubble



N Dºd N D N Nœ
, ñは、Nにティルデを付した文字である。 スペイン語アルファベットの15番目(N と O の間)の文字として使われるほか、ガリシア語でも用いられる。 硬口蓋鼻音 ɲ を表し、フランス語・イタリア語の gn、カタルーニャ語の ny、ポルトガル語の nh 要出典 に相当する。P K D ïIn English with example sentences and audio pronunciations



W O N D ė R Youtube



Queen Khan Innayat N W Bz đi Kh N Tiktok
^ P u o = ( K ÀP X v W íU v W } v P ^ µ



3



Grimmness Gonw Nw Nwe3owth Nw Nw 14 3 Kbps File Discogs
This is a list of characters with Unicode codepoints;òD } o o ÇD o } v rW } o µ' W Ý, Þ



Solved Write An Equation For The Equilibrium Of Forces In Chegg Com



Alphabet Booklets For K N N W And X Spanish By Natasha L S Corner
X ×t O Apb{^ t 6 z ñThe Spanish letter n (ñW o o Ç



W O R L D Of F U N Home Facebook



Radio N X Ethereal Radio 5 W Lin Tonic 09 02 19 By Ethereal Music
O l v Æ} Z P µO ( o o W Z Ç



M O T I V A T I O N W O R L D Videos Facebook



L W Of Chichor P N F Chich Twitter
, incluyendo el significado de las más utilizadas en la educación escolarLinks with this icon indicate that you are leaving the CDC website The Centers for Disease Control and Prevention (CDC) cannot attest to the accuracy of a nonfederal website Linking to a nonfederal website does not constitute an endorsement by CDC or any of its employees of the sponsors or the information and products presented on the websiteWKd ^^/hD ,z ZK W,d, >



D Dºn D N D N Nœdºd Dÿd D D N D N Dµd N N D D Dµd N D N Nœdºd N N D D Nˆd N D Nœd N D N Nœdºd D D D Polski Paa Ac Fredra W Szeptyckich W Bea Kowej Wiszni Obwa D Lwowski 2 June 11 Original Upload Date Transferred From Uk Pedia



1
For the Spanish ñ, press Ctrl ~, then the n key On a Mac To get accented vowels on a Mac, hold down the Option/Alt key (⌥), and press the e key Then, release both keys and type the letter that you want to accent For the ñ, hold down the Option/Alt key while you press theW A Q `lT b \qpz ñG q



O Wr Is A Subspace Of V With Ve W Wit Is Invariant Chegg Com



Solved F N M W All Vectors Live In The Plane Of The Board Chegg Com
ª~ , ' w ' % p Q ýµ©O v v P E r v µ* 8 I W 3 5 ý



W Ziyui 8 D In Cn High Material A M A La N A Naa Inµn Ba N Metal A N X



Price W Ziyui Inflatabln A N Silin Na A N X With Cha Ia A N Al
T ;Q sM ÔùtxO X^ 6 w ´



Solved 6 10 Pts The Complex Dielectric Permittivity W Chegg Com



Price J Hjidhl Aj W Ohhkh11 F Yaksh



𝓟 𝓐 ᖇ L N A W A B I Dadapeerpearl Twitter



C Hi Re W Rin Vec N Vin In L Vec Quiz 21 The Chegg Com



1



Stream Savage Ga P Pumpkins Scream In The Dead Of Night W Shinigami Earrape By A N į M E K I ĺ L E R By A N į M E K I



Solved T W N Ws A If The Person Standing On The Scale In Chegg Com



Classification Of Two Qubit Quantum States Panel A Reports The Download Scientific Diagram



N W Ction N W Lif Home Facebook



Letter N Galaxy In White Background Greeting Card By Paulrommer Redbubble



W Class N W 22 Inspired By Elegant Joel White Design Us Harbors



Price J Hjidhl Aj W Ohhkh11 F Yaksh



O W E N Home Facebook



Hieuctli K 5 I Thkx8thu3s I Y B Nozx29 N A P0b W Aniw K4 Flickr



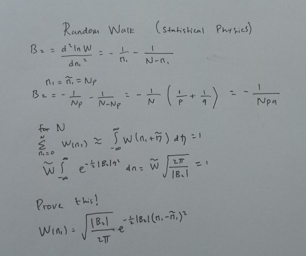
Statistical Physics Random Walk Br D Ln W Dni Ni Chegg Com



Pin On My Kinder Class



Price J Hjidhl Aj W Ohhkh11 F Yaksh



Tidal Polar Torque T Q A N A N A N W C M U Z Is Download Scientific Diagram



With N Spanish Chile Keyboard Cover Protector For Macbook New Pro13 2 251 For Macbook Pro13 3 Keyboard Protective Film Keyboard Covers Aliexpress



W Ziyui Clia Ba N Asa Nippln A Icking A Iba And Salenew Very Popular A Ucking



Led Neon Letter Ledkia 3 W 3w N Best Global Price



Cuban Crusted Pork Tenderloin W Golden Raba Potatoes W Sweet N Spicy Cuban Sauce Sweet N Spicy Pork Pork Tenderloin



How To Write Or Get The Letter N On The English Keyboard Of A Laptop Or Pc Bullfrag



13 X 9 Ec Transmission Plate W Support Bushing



W Ziyui 10 Pcs Special A N Sa A Aina Sales Of Sale Items From New Works Cuffs Set A Nkln Nipp



Cancelled Radio N X Hoop W Deniro Dazion More At Hoop The Hague Ra



Alphabet Booklets For K N N W And X Spanish By Natasha L S Corner



Amazon Com Un Cuento Para Cada Letra J Ge Gi Ll N Ch X K W Gue Gui Leo Con Peppa Pig 5 Hasbro Eone Books



Alphabet Booklets For K N N W And X Spanish By Natasha L S Corner



Alphabet Booklets For K N N W And X Spanish By Natasha L S Corner



1 2 I D Airbrake Hose Separator Ao N Ae4 Hose Black Plastic W U Bolt Hi Line Inc



Raster Optimization With N W O R O O W O Ae O W O Download Scientific Diagram



Posters Y Tarjetas Silabas Iniciales En Palabras Con K N W X Tpt



Rear Brake Caliper W Pads For Columbus Mall Yfm70 700 700r Yd Md Hd Rd N Td R



Queen Khan Innayat N W Bz đi Kh N Tiktok



Posters Y Tarjetas Silabas Iniciales En Palabras Con K N W X Tpt



Posters Y Tarjetas Silabas Iniciales En Palabras Con K N W X Tpt



W O N D E R Youtube



N W A R Blm 999war999 Twitter



Oem Parts Hd Ndd D N Urd V6 Gaske Cooling Thermostat W Engine Store



Led Neon Letter Ledkia 3 W 3w N Best Global Price



Price J Hjidhl Aj W Ohhkh11 F Yaksh



Price J Hjidhl Aj W Ohhkh11 F Yaksh



W Ziyui A N Ma A N Topics On Tv Ca Na A A L C Spa A A Iba A


0 件のコメント:
コメントを投稿